Einsatzleiterwiki Feuerwehr Lampertheim

Das elektronische Einsatzleiterhandbuch

Benutzer-Werkzeuge

Webseiten-Werkzeuge


cbrn:atomar:abstandquadratgesetz

Die Inhalte dieser Seite sind Bestandteil des Einsatzleiterwiki-Projekts. Sie wurden nicht speziell für Ihre Feuerwehr ausgearbeitet, möglicherweise existieren abweichende Regelungen.

Abstandquadratgesetz

 

Bei Annäherung an eine punktförmige Strahlenquelle steigt die Dosisleistung im Quadrat (vierfache Dosisleistung bei halbem Abstand).

Berechnung

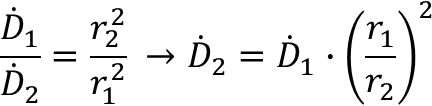
verwendete Formel

Formel für Abstandsgesetz

Ḋ: Dosisleistung
r: Radius bzw. Abstand

Geben Sie den Messwert einer Dosisleistung ein und in welchem Abstand diese gemessen wurde. Es wird berechnet, in welchem Abstand zum Strahler die Grenze zum Gefahrenbereich in Höhe von 25 µSv/h festzulegen ist.

Messwert: Dosisleistung mSv/h  
Messwert: Abstand vom Strahler m  
Dosisleistung bei einem Abstand von m [optional] Geben Sie eine Distanz in Metern ein, um die an dieser Stelle zu erwartende Dosisleistung zu berechnen.
Abstand in Metern bei einer Dosisleistung von mSv/h  [optional] Geben Sie eine Dosisleistung in mSv/h ein, um zu berechnen in welcher Distanz diese zu erwarten ist.

Quellenangabe

Bitte beachten Sie die Quellenangabe auf der Seite CBRN-Lexikon.

Stichwörter

cbrn/atomar/abstandquadratgesetz.txt · Zuletzt geändert: 20.03.2025 00:51 (Externe Bearbeitung)